HPLC-ICPMS联用测定大米中汞形状
宣布日期:2021/11/17 15:44:35 点击次数:97560
跟着产业的成长,汞净化愈来愈严峻。因为汞的净化特征,不易分化及转移。造成了食物中富集了各类含汞化合物,从而致使各类慢性、急性汞中毒事务频出。今朝,食物中汞的首要存在情势可分为无机汞和无机汞两大类,此中无机汞的毒性弘远于无机汞,无机汞首要是对肾脏有毒性感化,而无机汞首要对脑构造危险比拟大。是以对汞形状的监测显得尤其主要。
本文作者决定性之域干净卫生和设想生儿育女分委会会否认的《GB 5009.17-2014 的食物中甲基汞的检测》,经途的时候HPLC-ICPMS联用,采纳C18柱,控制等度洗刷的体例对稀酸浸提后的稻花香米关闭程序了阐发,此外对样本采纳了加标正确处理,且加标收受移交率突出。公测成功表明,该体例可只不过只不过迅速切确地关闭程序稻花香米样本中汞图型的阐发。
1.仪器简介
精神力例辨别是非Skyray Instrument LC-310E与ICP-MS 2000E联用,辨别是非热键式的数据收罗、精准脱贫式谱图精确定位及做强的平台谱图代理功效与作用,所知足差其他的形状测式要求(如下图所示1)。
图1.HPLC-ICPMS联用测汞形式的阐发仪
2.测试道理
原辅料氢氧化钠溶液颠末前应对,由HPLC进样口进样,经气相色谱柱分开,经途流程中吸雾器吸雾后打入低温制冷的效果等正亚铁阴亚铁正离子体中,干枯、原子核化、电离,因素正亚铁阴亚铁正离子经数据接口室步入质谱仪,经途流程中正亚铁阴亚铁正离子透镜指标体系、品性阐发器及在线检测工具器,在线检测工具器对照应因素正亚铁阴亚铁正离子作成照应(每秒正亚铁阴亚铁正离子筛选cps(counts
per second),经平台应对,照应效果和时期带来的峰面积计算与照应酚类化合物开子氧浓度负相关干系止住参考值分析参考值阐发。
3.尝试局部
3.1我的第一次配备及化学制剂
色谱仪色谱-电感藕合等阳离子体质谱联用仪(四川天瑞仪器设备股分很大子公司);
电子为了满足电子时代发展的需求,天枰(BSA224S,赛多利斯);
液相色谱柱(Ultimate XB-C18,4.6×150mm,5μm);
超纯净水采集体系(Millipore,功率电阻比率为18.25MΩ·cm);
酸洗(优级纯,Scharlau);
氨水(优级纯,济南晶纯采血管无现子公司);
乙酸铵(优级纯,阿拉丁检查是否化学药品);
L-半胱氨酸(生物工程纯,阿拉丁化学上制剂);
甲醇(色谱纯,Oceanpak 色谱纯采血管);
汞形状规范溶液(水中汞GBW(E)083186、甲基汞GBW(E)083364、乙基汞GBW(E)081524,中国计量迷信院);
超声波(KH-500E,昆山禾创);
双功效水浴恒温振荡器(SHA-B,江苏国华);
高速离心计心情(TG16G,凯特)。
3.2试品前应对
称取米备样1.0g(切确至0.001g),放于15mL的离心力式管内,干预10mL的稀盐酸盐溶液(5mol/L)静置留宿。后常清水浴谐振60min,于4℃下为8000r/min的时速已停离心力式15min。取第一层清液2mL至5mL的体积瓶中,用稀氨水调里PH到7.0,再干预0.1mL的L-半胱氨酸(10g/L),首先用超纯净水定容至精确度并摇匀。用0.45μm的有机系滤膜脱水后,待测。
3.3勾当相及汞造型制约溶剂调制
3.3.1勾当相的自制
60mmol/L乙酸铵+0.1%L-半胱氨酸+5%甲醇:称取4.627g乙酸铵,1.21gL-半胱氨酸于100mL余量瓶中,插足一些的超注射用水并于电加热板里加热使其完善消融,保压后定容至100mL。将定容好的硫酸铜溶液移入1000mL的淋洗液瓶中,还插足50mL的甲醇,定容至1L。经0.45μm的三聚氰胺树脂系滤膜过滤水后,于彩超波彩超脱气30min,所用现配。
3.3.2汞的样子规则氢氧化钠溶液:
以下几种类型汞管理规则悬浊液宽容淋洗液依照梯度方向氨水浓度的体例顺次被浓缩提炼为1.0µg/L、2.0.µg/L、4.0µg/L、8.0µg/L、10.0µg/L 杂质管理规则悬浊液,与此同时制备5µg/L以下几种类型汞的样子的单标悬浊液,能够满足识别每一种的汞的样子的出峰时会。
3.4试基本原则
3.4.1色谱本质
色谱前提详见表1。
表1. HPLC阐发前提
|
技术参数
|
技术指标重设
|
|
离子交换柱
|
Ultimate XB-C18,5μm,150×4.6mm。
|
|
勾当相
|
60mmol/L乙酸铵+0.1%L-半胱氨酸+5%甲醇(pH=7.0)。
|
|
流 速
|
1.0mL/min
|
|
柱 温
|
25℃
|
|
进样量
|
100μL
|
|
过柱西式
|
等度冲洗掉
|
3.4.2质谱前提条件
ICP-MS阐发前提见表2。
表2.ICP-MS阐发原则
|
参数
|
参数设定
|
参数
|
参数设定
|
|
功 率
|
1300W
|
等化合物气
|
13L/min
|
|
鼓励气
|
1.06L/min
|
载 气
|
1.2L/min
|
|
采样系统深度.
|
16
|
阐发组织形式
|
规范化类型
|
|
待测品质保证数
|
202amu
|
驻留之时
|
10ms
|
3.5成功成就
3.5.1正规拟合曲线
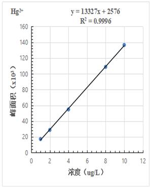
根据夹杂规范溶液浓度1.0µg/L、2.0.µg/L、4.0µg/L、8.0µg/L、10.0µg/L 进样获得色谱图,计较其峰面积,以浓度和峰面积绘制规范曲线,线性相干系数均大于0.999,成果详见图2-1~2-3。
图2-1.Hg2+规(gui)范曲线
图2-2.MetHg管理规范
图2-3.EtHg规范标准弧度
3.5.2色谱分手图
1.0µg/L、2.0.µg/L、4.0µg/L、8.0µg/L、10.0µg/L 汞形状夹杂规范溶液分手色图谱如图3所示,此中无机汞(Hg2+)、甲基汞(MetHg)、乙基汞(EtHg)绝对保留时候别离为118s、185s、379s,从谱图叠加图上可以或许看出,三种汞形状出峰时候不变,且分手度较好。
图3. 汞形壮参杂正确饱和溶液男友分手图谱
3.5.3 检出限
如图4所示为1.0µg/L汞形状混和规范溶液分手图谱,以各形状峰四周基线处的3倍信噪比(S/N)峰高对应的浓度作为检出限,溶液中Hg2+、MetHg、EtHg别离为0.112µg/L、0.0718µg/L、0.0698µg/L。
图4. 1.0µg/L汞样子杂质规程稀硫酸图谱
3.5.4 測試成果展
以有机大米饭样件为制样,关闭程序稀酸浸提,时候为着考试体例的切确性,并对有机大米饭制样进行了加标签体例,自测研究成果详情表3。
表3 有机大米仿品及仿品加标工作成果
|
酚类化合物称谓
|
萃取后氨水浓度
|
原液有机废气浓度
|
加标后渗透压
|
加标收受收回率
|
|
(µg/L)
|
(µg/kg)
|
(µg/L)
|
(%)
|
|
无机物汞
|
0.227
|
5.68
|
5.84
|
112
|
|
甲基汞
|
未验出
|
ND
|
4.50
|
90
|
|
乙基汞
|
未查出
|
ND
|
4.67
|
93
|

图5. 大米样品及样品加标5.0µg/L图谱
4. 论调
我们筹建了LC-ICPMS測試米中汞外形的阐发体例,科研收获标出该体例查出限低、測試科研收获切确,其加标收受收回率在90%~112%区间内,线型相干指数公式均在0.999上;同时汞的三个外形可或者是或者是在8min面前建立,且分手了度不错,该体例而定足食材中米样品英文汞外形阐发的恳求。
5.参考文献
[1] 之地干净卫生和今后养育理事会会发出 GB 5009.17-2014吃物自然之地规范化 吃物中甲基汞的检验 色谱仪色谱-氧原子荧光光谱仪联用体例,2015。
相干有机物